服務熱線:15195518515在線客服:1464856260
傳真號碼:0517-86801009
郵箱號碼:1464856260@qq.com
網 址:http://m.bxsmf.com
地 址:江蘇省金湖縣理士大道61號
淺析如何在稠油井下用循環水液位計進行液位測量
摘要 :稠油熱采已經成為國內稠油開發的主流手段,目前對于井下蒸汽干度測量和射孔層吸熱效率評價缺乏直接有效的手段。為此中油測井遼河分公司提出六參數井下吸汽剖面測井方案,并開發出獨立配套的吸汽剖面解釋軟件。軟件利用井下循環水液位計實測的井下流體密度、壓力、溫度、流量參數,結合油藏蒸汽飽和水和蒸汽特性關系,進而完成對蒸汽注入剖面的解釋評價。
1 稠油蒸汽干度測量現狀
稠油資源占到**石油儲量的 70%,國內遼河、新疆、勝利等都有廣泛的稠油分布。熱力采油成為目前稠油開發的主要方式。熱采注汽的原理是通過注汽提高油藏溫度,降低原油粘度以增加井下稠油流動性,達到規模開采的目的。蒸汽通過井口地面鍋爐制備,通過管線輸送到井口,再經過井下管柱到產層。
為了避免結垢且保證熱效率,鍋爐輸出蒸汽通常嚴格控制在 75%~80% 干度內,經過管道和井筒時,由于熱損失,蒸汽干度進一步降低,蒸汽凝結水增加。蒸汽干度的測量通常在鍋爐出口和井口完成,對井下干度和注汽層吸熱能力評價缺乏有效的檢測手段。
2 蒸汽注入剖面測井循環水液位計
循環水液位計設計采集沿井軸的連續伽馬、磁定位、溫度、壓力、密度、流量六種參數信息。針對實際井下高溫工況,循環水液位計設計時通過篩選高溫元器件,對設備電路進行保溫瓶設計封裝等強化措施,設立了井下作業溫度 350 ℃(4hr),*高耐溫 400 ℃的設計工作指標。同時,循環水液位計串頂部設計獨立存儲短節,無需動用電纜,使用鋼絲傳輸即可,避免了高溫電纜損傷,同時降低作業成本和風險。
3 計算法方法
(1)密度。伽馬光子與物質發生反應后放出的伽馬射線強度與物質的密度有關 :

其中,Nc 濕蒸汽檢測的射線強度,N0 放射源的射線強度,μ射線吸收系數,濕飽和蒸汽密度ρsw。通過放射性法檢測伽馬強度可以測出飽和濕蒸汽密度。
(2)蒸汽干度。在一定外界壓力下,將水持續加熱,引起液態水蒸汽壓力持續增加直至和外界壓力相等時,液態水吸熱量到達飽和狀態,并開始沸騰。此時對應的溫度稱為該壓力下的飽和溫度,該壓力叫做飽和壓力。飽和水繼續被加熱時,水變成氣液混合體,溫度不再升高,吸收的熱量用于完成汽化的過程,所含能量被稱之為汽化潛熱。水的汽化潛熱*高,是優良的注熱載體,因而蒸汽注入大規模用于稠油開采中。
飽和蒸汽的溫度 TS 和壓力 PS 的關系在計算時可以用近似表示如下 :

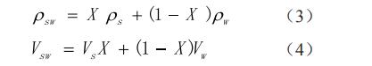
蒸汽的干度是指每千克濕蒸汽中含有干蒸汽的質量百分數。常規的蒸汽干度測量方法,包括人工化驗法(爐水取樣)、熱力學法(抽汽取樣)、非熱力學法(放射、電導率、示蹤劑等)、數學模型計算法。但無論何種測量方式,通常難以直接獲得井下干度剖面信息。通過高溫六參數測井循環水液位計,可以直接測量濕飽和蒸汽密度ρsw。根據定義,飽和蒸汽、飽和水的密度和比容與干度的關系如下 :

其中,ρs 為蒸汽密度(kg/m3),ρw 飽和水密度 (kg/m3),ρsw 為濕飽和蒸汽密度 (kg/m3),vs 為飽和蒸汽比容(m3/kg),vw 為飽和水比容 (m3/kg),vsw 為濕飽和蒸汽比容,X 為干度。
經過發展,W.S.Tortlke 及 S.M.Farouq Ali 提出了用于熱采油藏數值模擬的飽和蒸汽特性函數關系式,并分析誤差達到很小的程度。劉文章等人將關系式進行進一步總結,得到 :
①飽和水的密度 :

溫度 T 為 K(273+℃),壓力 P 為 kPa。通過六參數測井儀可以測量出井下溫度、壓力、密度等數據,即可通過蒸汽函數關系求計算深度的干度信息。
(3)井筒熱損失。在實際生產中,由于井筒傳熱狀態受到注熱時間、油套管節箍傳熱系數偏差、保溫管老化、水泥固井質量變化等影響,較難得到符合實際的準確數值。而通過六參數測井儀測量出干度信息后,濕蒸汽在井筒的干度損失可以直接反映當前階段井筒徑向熱損失。
通過 Farouq Ali 模擬的飽和蒸汽特定函數關系可知:
①飽和水的比熱焓 Hw :

在相鄰兩個計算深度,干度的變化可以用來表示徑向熱損失速率 :

式中,V 為循環水液位計測速 (m/h) ;rT 為導熱油管內徑 ;Hw1,Hw2 為井筒上下深度位置的飽和水熱焓 (kJ/kg) ; Hs1,Hs2 為井筒上下深度位置蒸汽潛熱焓 (kJ/kg) ;X1, X2 為對應的干度。
(4)吸汽量。
①吸汽量。計算射孔層位吸汽量,可以通過六參數循環水液位計的渦輪流量計實現。忽略低流速時渦輪的非線性響應及密度對渦輪轉速的影響,則渦輪轉速 RPS 與流速成正比 :


4 軟件實現
*一步 :將原始數據進行預處理處理,包括單位標準化,較深等。
*二步 :如果采用井下定點測量方式,那么將密度溫度壓力流量數據按照計算采樣頻率進行線性插值。
*三步:按照擬合公式,計算水和蒸汽的密度和熱焓。
*四步 :計算對應密度和比容數據下的蒸汽干度,并計算井筒熱損失。
*五步 :通過渦輪流量數據計算射孔層位吸汽量和吸汽強度。
*六步:通過步驟三和步驟五計算射孔層位吸熱量。
5 結論和認識
(1)通過六參數測量循環水液位計,結合蒸汽物理參數擬合方法,可以定量評估井筒熱保熱能力和注入層吸汽效果,并為甲方熱注方案調整提供依據。
(2)溫度壓力和密度數據十分重要,是否能夠獲得準確的測井數據是關鍵。注汽井惡劣的井下環境,對循環水液位計的可靠性要求很高。



|